Quinidine Sulphate is a class Ia anti-arrhythmic used to treat atrial and ventricular arrhythmias by slowing heart conduction.
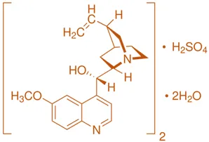
Structure of Quinidine Sulphate
- Quinidine sulphate is a stereoisomer of quinine, belonging to the class IA antiarrhythmic agents.
- It features a quinoline structure with a stereocenter that distinguishes it from quinine.
- Chemical Formula: C₂₄H₂₉NO₄S

Mode of Action
- Class IA Antiarrhythmic: Prolongs the action potential and refractory period by blocking fast sodium channels.
- Ventricular and Atrial Myocytes: Slows phase 0 of the cardiac action potential, reducing excitability.
- Potassium Channel Blockade: Extends repolarization by inhibiting potassium efflux.
- Effect on Heart Rate: Can convert atrial fibrillation to sinus rhythm and prevent reentrant arrhythmias.
Uses
- Atrial Fibrillation and Flutter: Restores and maintains sinus rhythm.
- Ventricular Tachycardia: Treats and prevents ventricular arrhythmias.
- Prevention of Reentrant Arrhythmias: Effective in various supraventricular and ventricular arrhythmias.
- Antiarrhythmic Prophylaxis: Prevents recurrence of arrhythmias post-cardiac surgery or myocardial infarction.
Click Here to Watch the Best Pharma Videos