Vinblastine Sulphate is an anti-neoplastic alkaloid used in cancers like Hodgkin’s lymphoma by inhibiting microtubule formation and cell division.
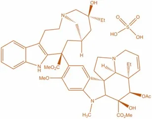
Structure of Vinblastine Sulphate
- Vinblastine is a vinca alkaloid comprising two monomers: catharanthine and vindoline, linked together.
- Chemical Formula: C₄₈H₅₈N₁₄O₁₂

Mode of Action
- Microtubule Inhibition: Binds to tubulin, preventing microtubule assembly and disassembly.
- Mitotic Arrest: Halts cell division at metaphase by disrupting spindle formation.
- Apoptosis Induction: Leads to programmed cell death in rapidly dividing cells.
Advertisements